石墨烯因其獨特的線性能量色散關系、高遷移率和潛在的在納米電子學器件和電路的應用而備受學術界和產業界的關注。石墨烯的本征磁性研究是研制電子屬性和自旋屬性有機結合的自旋電子學器件的基礎。而石墨烯是僅有S和P電子的材料,其磁性來源于部分填充的電子態,如缺陷或邊界態,且磁性非常弱。任何ppm量級的磁性雜質污染都有可能掩蓋石墨烯的本征磁性而使其表現出雜質磁性的假象。所以國內外涉及石墨烯磁性的實驗報道爭議較大。室溫鐵磁性、順磁性甚至室溫超導等令人興奮的結果均有報道。產生這些有爭議結論的根本原因是缺少高純、宏量的石墨烯。因此,研究和揭示石墨烯宏觀磁性的前提是擁有宏量、化學純凈的石墨烯材料。
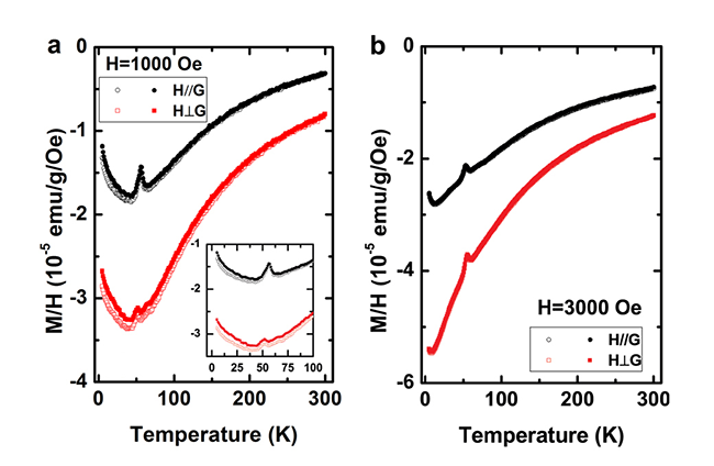
中國科學院物理研究所/北京凝聚態物理國家實驗室(籌)先進材料與結構分析實驗室陳小龍研究組(A02組,功能晶體研究與應用中心)博士生陳蓮蓮、郭麗偉研究員等發展了完全碳化SiC晶片制備高純石墨烯的方法。通過完全碳化非極性SiC(10-10)晶片制備出有序排列、具有不規則zigzag邊的毫克量級的石墨烯材料(RSC Advances, 2013, 3, 13926)。基于這種高純的石墨烯材料系統研究了石墨烯的磁矩與溫度(圖1)、磁矩與外場的關系(圖2),首次繪出了石墨烯的磁相圖(圖3)。實驗發現,在這種具有不規則zigzag邊的石墨烯材料中鐵磁、反鐵磁和抗磁共存。石墨烯zigzag邊的磁性迭加在石墨烯自由電子的朗道抗磁本底上。去除抗磁本底后,石墨烯zigzag邊的磁性被揭示出來。石墨烯邊界連續的zigzag邊組成基本磁有序單元,其鐵磁居里溫度是820±80 K,不同子晶格中磁有序單元的反鐵磁有序尼爾溫度是54±2 K。室溫下,如果石墨烯邊界上連續的zigzag邊的數目大于3個,人們會觀測到鐵磁性,否則會觀測到順磁性。他們繪制的石墨烯的磁相圖對于深入理解石墨烯的本征磁性和澄清現有報道中石墨烯磁性的混亂結果具有重要意義。相關結果發表在近期出版的Scientific Reports雜志上( Scientific Reports 3, 02599(2013)/doi:10.1038/ )。
上述工作得到了國家自然科學基金委、科技部和中國科學院的支持。
圖1 有序排列的石墨烯樣品在一定場強下磁化率隨溫度的變化。
圖2 在不同溫度下石墨烯的磁矩隨磁場強度的變化曲線。每幅圖右下角的插圖為在低場下的放大圖。
圖3 有序排列石墨烯的磁相圖。

電池網微信












