該薄膜具有超疏水低接觸角滯后等優異的性能,結合鎳合金本身良好的防腐蝕性能,這一圖案化薄膜在防腐方面具有應用價值的潛力。同時,圖案化形貌的存在,不利于微生物在表面的吸附,也可以應用于防污領域。

具有微納米多級形貌的圖案化薄膜具有特殊的親疏液性能,在自清潔、摩擦學、腐蝕學等研究領域中占有重要的位置。

中國科學院寧波材料技術與工程研究所烏學東科研團隊通過電化學-化學共沉積的方式得到了表面形貌逐步變化的Ni-P合金薄膜,這一薄膜無需進行低表面能物質的修飾即展現出了超疏水性能。近期,該課題組對這一共沉積形貌的變化進行了更深入的研究,利用電化學工作站采集和分析的數據對薄膜的電化學成核機理有了更深的認識。

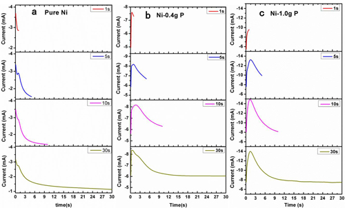
電解液中還原劑的加入,產生了去極化現象,增大了沉積電流。純Ni薄膜沉積過程存在一個擴散控制區,而協同沉積過程中沒有出現對應的擴散控制區現象。這說明協同沉積過程此時電極表面存在其它反應,增加了電流。純Ni薄膜成核起始階段出現的雙電層充電現象也在協同沉積時消失(圖1),這是由于還原劑的加入對雙電層結構產生了影響。從形貌上來看,純Ni薄膜沉積時得到的為平整薄膜狀結構,Ni-P協同沉積得到的成核形貌全部為球狀結構,這是由于薄膜在成核初始階段,由于電沉積的作用遠遠強于化學沉積,溶液中的鎳離子首先會在電場的作用下被還原為金屬原子。起始沉積,鎳原子的數量不多,因此比表面積較大懸鍵多,催化活性高,可以作為催化劑催化溶液中的還原劑與金屬鎳離子進行化學沉積,在這一高活性鎳周圍沉積,形成了球狀結構(圖2)。即發生化學沉積所需要的催化劑是由電沉積成核時產生的高活性鎳。這一過程導致了球狀成核形貌的產生,與普通的薄膜狀成核相比,存在明顯差異。

該薄膜具有超疏水低接觸角滯后等優異的性能,結合鎳合金本身良好的防腐蝕性能,這一圖案化薄膜在防腐方面具有應用價值的潛力。同時,圖案化形貌的存在,不利于微生物在表面的吸附,也可以應用于防污領域。

此研究發現發表在英國皇家化學會雜志RSC advancesRSC Advances, 2015, 5, 27242 - 27248)上。

此研究工作得到了中國國家自然科學基金(No.51475450,51335010)和國家基礎研究項目(No.2014CB643302)及浙江省創新團隊(No. 2011R50006)的支持。

 電沉積(a)和協同沉積(b, c)在及時電流曲線中差別:電流的下降區(a)在協同沉積過程中消失

 電化學化學協同沉積示意圖(左)和協同沉積與普通電沉積在陰極極化曲線和成核形貌之間的區別(右)

[責任編輯:趙卓然]

免責聲明:本文僅代表作者個人觀點,與電池網無關。其原創性以及文中陳述文字和內容未經本網證實,對本文以及其中全部或者部分內容、文字的真實性、完整性、及時性,本站不作任何保證或承諾,請讀者僅作參考,并請自行核實相關內容。涉及資本市場或上市公司內容也不構成任何投資建議,投資者據此操作,風險自擔!

凡本網注明?“來源:XXX(非電池網)”的作品,凡屬媒體采訪本網或本網協調的專家、企業家等資源的稿件,轉載目的在于傳遞行業更多的信息或觀點,并不代表本網贊同其觀點和對其真實性負責。

如因作品內容、版權和其它問題需要同本網聯系的,請在一周內進行,以便我們及時處理、刪除。電話:400-6197-660-2?郵箱:119@itdcw.com

電池網微信
寧波材料所
Ni-P薄膜